There is an exponential decline of bed material particle size as you move downstream due to the fining as a result of abrasion and sorting. Smaller particles are preferentially entrained and transported creating a set of bedforms. The most common are pool-riffle sequences which are characteristic of many single-channel alluvial rivers (Carling & Orr, 2000). They form as a series of rifles and intervening pools (Figure 1). Shallows are formed by high points in the channel called riffles. The deep reaches that supersede are known as pools.

At low flow riffles accumulate relatively course material, and are subject to rapid flowing water due to the gradient of the water surface. Pools consist of a bed of finer material than riffles with water flowing through relatively slowly in comparison as the gradient is shallower (Summerfield, 1991). This slower moving water in pools suggests that they should infill as larger, coarser sediment becomes trapped as transport rates decreases; however this is not the case.
Several mechanisms have been devised in order to explain their maintenance. Keller (1971) monitored the mean bottom velocities of pool-riffle sequences in Dry Creek, California. From his results he determined that a velocity reversal was the maintenance mechanism.
At low flow the bottom velocity in pools is less than in the adjacent riffle. As discharge increases so do the velocities. The rate of increase, however, was found to be greatest in the pools. The pool velocities increase such that eventual the pool and riffle values match and it is at this point a velocity reversal occurs (figure 2).

Large bed material transport does not occur at low flow in riffles. At high flow, above the velocity reversal coarse material can move into the pool where it is quickly transported away due to the higher velocities. Therefore there is no infilling and the sequence is maintained. Pools can shallow if there is a sudden loss of higher velocity and coarser sediment is not evacuated in time.
This is not the case with all rivers however. Bhowmik and Demissie (1984) showed that the velocity in the riffles was greater than the pool at all discharges including bankfull even though pool velocity did increases at a faster rate (figure 3). Campbell and Sidle (1985) found that evacuation only occurred in 15% of floods.

Lisle (1979) noticed that material below the reverse velocity tended to collect in the pools even though the velocity was sufficient to evacuate some of it. Below bankfull stage pools tended to fill in. He hypothesised that a shear reversal was the likely maintenance mechanism.
At low flow, shear stress was greater in riffles than pools, but as discharge increased a reversal point was achieved before high flow (Figure 4). The largest sediment that could be eroded and transported into the pools exists just below the reversal point. Above which the size of the grains that could be transported falls. Hence the sequence is maintained by blocking of coarser material above the reversal point at the rifle-pools boundary. Cao et al (2003) after running a computational experiment found that for the River Lune it was not possible to achieve a flow reversal from the bed variations that gave rise to peaks in shear stress. Carling (1994) found that rougher surfaces and hence greater shear stresses could ‘promote’ reversal but was not the fundamental mechanism. Other computational studies have shown that velocity and shear bed reversal are not present for high flow in all cases (3 out of 8 sequences) and as such cannot be a maintenance mechanism (Booker et al., 2001). The model also showed that there was a decrease in shear stress at higher discharges, contradicting Keller’s theory.

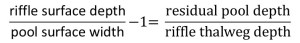
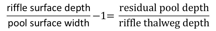
Velocity and shear reversals are only possible when riffles are wider than the pools (Caamaño et al., 2099). This is because the pool cross-section discharge must be equal to that of the riffle cross-section and pools are deeper. As pool depth decreases relative to the riffle thalweg depth, reversals become more likely (figure 5).

This implies that very deep pools may never achieve a state of reversal and therefore must be maintained by other means. If reversal is linked to shear stress and thus transport rates, pools that become so shallow that reversal only occurs at high flows could not be maintained by this mechanism as high flows occur less frequently.
Heritage and Milan (2004) ran a model to test the role that excess energy has in maintenance. They found that pools form in areas of high excess energy or in other words in areas where more energy is available for scouring and transport. At high flow pools have greater excess energy than riffles but this reversal may only occur for short periods of time. An implication of this is that it may not be possible to evacuate all incoming sediment and will result in infilling. If the system is maintained by this approach then the energy available between the riffle and pools should balance. The study showed that the most energetically riffle was coupled with the least energetic pool and therefore should infill. The study did show that two thirds of the sequences did reverse however. This could imply that reversal is a contributory factor in pool-riffle maintenance.

Harrison and Keller (2003) noted that in channels with rough, irregular boundaries, pools are often forced by local obstructions. Channel roughness elements cause a convergence of flow which in turns accelerates the water and increases the capacity for sediment transport at high flow (Figure 6). Pool creation is therefore forced and in mountain channels is the rule rather than the exception (Buffington et al., 2002). From a model pool-riffle sequence they found that at high flow (bankfull discharge) the peak pool head discharge was 2.8 ms-1 whilst the riffle measured a peak of 2.5 ms-1. A velocity reversal had occurred which the authors attribute to the presence of the flow convergence. This is maintained the presence of a recirculating eddy that develops below the obstruction. At the pool’s exit there is strong divergence. Hence sediment can be evacuated from the pools and is deposited in the riffles as flow rates fall (Figure 7).

However at high discharges, such as extreme flood events, the maximum velocities in the pool and riffles were found to equalise. At high flow, obstructions have a reduced ability to converge flow through a single jet (Figure 8) implying that obstructions are needed for pool-riffle maintenance.

Thompson et al. (1999) stated that due to velocity hypothesis reversal, riffles should widen rapidly and display a larger cross-sectional area of flow than pools at higher discharges. Pools should have smaller cross-sections resulting in higher mean and bottom velocities. However it has been shown that pools have the larger cross-section and lower cross-sectional average velocities than riffles in some cases (Richards, 1978; Carling & Wood, 1994).At low flow the ratio of width between pool and riffle is 1:1. At bankfull discharge it is 1:3 and during floods is 1:1. A narrow pool in comparison to the riffle results in constriction of the flow as it moves through. Boulders and other channel obstructions can constrict the width by 10-50% with their presence generating the greatest pool velocity and shear stress. Harrison and Keller argue that large roughness elements are one form of pool-riffle sequence maintenance.

To say either way whether velocity reversals are the defining mechanism for pool riffle maintenance would be unjust. Keller’s original work in the field has come to define the current paradigm. It has been shown that velocity reversals are a suitable mechanism for pool-riffle maintenance in certain cases.They found that the upstream sloping portion of the bed at pool exists, restricts the bed load size that can leave under a given discharge. Implying that greater velocities, coupled with high flow is needed to evacuate larger sediments. The pool exit slope creates strong divergence of flow, reducing the transport rate as it enters riffles (Figure 9). It further creates areas of strong upwelling which leads to deposition (Petit, 1987). The riffles are therefore maintained by this velocity reversal mechanism.
A body of evidence has grown to disprove this; however the original theory cannot be dismissed out of hand. Velocity reversals are linked to other mechanisms such as shear stress reversal. Bed morphology results in changes to flow properties that can be seen as a velocity reversal as they result in a slowing of the flow in riffles but an increase in pools. Whilst velocity reversals by Keller’s (1971) definition are not always applicable, the effect that boulders have to increase pool velocity results in a mechanism that is not devoid of them completely.
It is impossible to say that velocity reversals are not responsible for maintaining pool-riffle sequences but not possible either to say that they completely do. However given that many additional proposed mechanisms make use of the idea, it is safe to say that reversals are an important part.
If you have found any of my essays helpful or interesting please consider making a donation here. Thank you and hope you have enjoyed my writing.
Works Cited
Bhowmik, N.G. & Demissie, M., 1984. Discussion of “Bed Material Sorting in Pools and Riffles”. Journal of Hydrological Engineering, 109(9), pp.1243-45.
Booker, D.J., Sear, D.A. & Payne, A.J., 2001. Modelling Three-Dimensional Flow Structures and Patterns of Boundary Shear Stress in a Natural Pool-Riffle Sequence. Earth Surface Processes and Landforms, 26(5), pp.553-76.
Buffington, J.M., Lisle, T., Woodsmith, R.D. & Hilton, S., 2002. Controls On the Size and Occurrence of Pools In Coarse-Grained Forest Rivers. River Research and Applications, 18(6), pp.507-31.
Caamaño, D. et al., 2099. Unifying Criterion for the Velocity Reversal Hypothesis in Gravel Bed Rivers. Journal of Hydraulic Engineering, 135(1), pp.66-70.
Campbell, A.J. & Sidle, R.C., 1985. Bedload Transport In a Pool-Riffle Sequence of a Coastal Alaska Stream. Water Resources Bulletin, 21, pp.218-23.
Cao, Z., Carling, P. & Oakey, R., 2003. Flow Reversal Over a Natural Pool-Riffle Sequence: A Computational Study. Earth Surface Processes and Landforms, 28(7), p.689–705.
Carling , P.A. & Wood, N., 1994. Simulation of Flow Over Pool-Riffle Topography: A Consideration of the Velocity Reversal Hypothesis. Earth Surface Processes and Landforms, 19(4), pp.319-22.
Carling, P.A. & Orr, H.G., 2000. Morphology of Riffle-Pool Sequences in the River Severn, England. Earth Surface Processes and Landforms, 25(4), pp.369-84.
Carling, P.A. & Wood, N., 1994. Simulation of Flow Over Pool–Riffle Topogrpahy: A Consideration of the Velocity Reversal Hypothesis. Earth Surface Processes and Landforms, 19, p.319–332.
Dunne, T. & Leopold, L.B., 1978. Water In Environmental Planning. San Francisco: W. H. Freeman.
Harrison, L.R. & Keller, E.A., 2003. Modelling Forced Pool–Riffle Hydraulics In a Boulder-Bed Stream, Southern California. Geomorphology, 83(3), pp.232-48.
Heritage, G.L. & Milan, D.J., 2004. A Conceptual Model of the Role of Excess Energy in the Maintenance of a Riffle-Pool Sequence. CATENA, 58(3), pp.235-257.
Keller, E.A., 1971. Areal Sorting of Bed-Load Material: The Hypothesis of Velocity Reversal. Geological Society of America Bulletin, 82(3), pp.753-56.
Lisle, T., 1979. A Sorting Mechanism for a Riffle-Pool Sequence. Geological Society of America Bulletin, 90(Part II), pp.1142-57.
Petit, F., 1987. The Relationship Between Shear Stress and the Shaping of the Bed of a Pebble-Loaded River, La Rulles-Ardenne. CATENA, 14(5), p.453–468.
Richards, K.S., 1978. Simulation of Flow Geometry In a Riffle–Pool. Earth Surface Processes and Landforms, 3, p.345–354.
Summerfield, M.A., 1991. Global Geomorphology. Harlow: Pearson Education Limited.
Thompson, D.M., Wohl, E.E. & Jarrett, R.D., 1999. Velocity Reversals and Sediment Sorting In Pools and Riffles Controlled By Channel Constrictions. Geomorphology, 27(3), p.229–241.
Reblogged this on planetgeog@TCD.